基礎有機化学
高木教官は自分で書いたA4紙の参考用紙のみ持込可にしてくれています。
●基礎有機化学 2004/?/? 再試 高木教官
1.以下の問1から問3に答えよ。
問1 下に示す化合物において存在する立体異性体を全て記せ。
問2 赤い皮の手袋1組、黄色の皮の手袋1組、軍手1組がある。1つずつの手袋を使って、meso、enantiomer、
diastereomerの説明をせよ。
問3 問1で書いた立体異性体のうち、meso体になるものenantiomerの関係にあるもの全て記せ。
2.メタンのハロゲン化反応におけるX・+CH4→CH3・+HXのエンタルピー変化をH1、
CH3・+X2→CH3X+X・のエンタルピー変化をH2とすると、下の表のようになる。
この表に基づいて、塩素化は容易に起るのに対して、臭素化は高温にしなければ起らず、ヨウ素化は不可能であることを説明せよ。
| H1 | H2 | |
| F | -33 | -68 |
| Cl | -1 | -21 |
| Br | 14 | -20 |
| I | 31 | -21 |
3.ラジカル反応において、第3級炭素がもっとも反応が高く、第1級炭素が反応しにくい理由を説明せよ。
(軌道を利用して説明すること。)
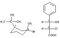
4.下に示した2つの化合物中の1と2の炭素のRSを記せ。また、各々について最も安定な配座の構造を記せ。
(Tはいす形で記し、UはNEWMANを用いて記せ。)ただし、Uにおいては、OHとCOOHの間に水素結合が存在する場合が
最も安定であるとする。またTのIUPAC名を記せ。
T U
5.以下の問1と問2に答えよ。
問1 ポリエチレンは電導性を示さないのに、ポリアセチレンは電導性を示す。その理由を説明せよ。
問2 二酸化炭素が地球温暖化の原因となる理由を説明せよ。
●基礎有機化学 2004/2/? 期末 高木教官
1.1,3,5-トリクロロシクロヘキサンで存在する異性体をすべて記し、安定性の順を記せ。
2.下に示す化合物中の炭素原子1〜8の混成軌道がsp3、sp2、spのいずれかであるかを各々について記せ。
3.以下の言葉について解説せよ。
(1)intraとinter (2)Six member is best,five or seven is possible. (3)UV-AとUV-B
4.以下の化合物1・2について安定な立体構造(化合物1はNewmanで)記し、各々の1と2の炭素のRSを記せ。
ただし、化合物1ではフェニル基どうしの反発が一番大きいものとする。また、化合物2のIUPAC名を記せ。
化合物1 化合物2
5.以下の問1から問3に答えよ。
問1 マグカップはachiralなものであるが、ポイント(マーク)の入れ方によってはchiralになったりachiralになったりする。
星印を1つマークとして入れるとして、chiralなものとachiralなものを図示せよ。
Chiralなものは鏡像体がわかるように書くこと。
問2 メタンの塩素化には、以下の2つのメカニズムがありうる。
Type 1: Cl・+CH4→CH3・+HCl…僣=-1 CH3・+Cl2→CH3Cl+Cl・…僣=-21
Type 2: Cl・+CH4→CH3Cl+H・…僣=23 H・+Cl2→HCl+Cl・…僣=-45
どちらのメカニズムの方が起りやすいかを、エンタルピーに基づいて説明せよ。
問3 次のの2つの化合物のうち、どちらの方がより強い酸になるかを理由と共に述べよ。
(ヒント:H+が一つはずれた状態の安定性を比較する。)
★有機化学T 2000/2/8 融教官
1.Nの混成軌道の電子配置を説明せよ。また、NH3分子の形を書け。
2.次のルイス式を書け。
1) 2) 3) 4) 5)
![]()
3.命名せよ。
1)
![]()
2)
![]()
3)

4)
![]()
5)

4.R,Sを判定せよ。また立体構造を書け。
1),2),3),4)は下記参照

5) (s)-2-ブロモヘキサン
5.2,3-ジブロモブタン
(1)全ての立体異性体をFisher投影法で書きキラル中心、R,Sも書け。
(2)立体異性がどんな関係にあるか書け。
6.最も安定な配座をNewman投影法を使って書け。
(1) 2-メチルブタン C2-C3結合
(2) 2,2-ジメチルペンタン C3-C4結合